Home
Uncategories
Life Insurance Lic Jeevan Saral Surrender Value Chart : Lic Jeevan Shiromani Plan 847 Details / As per the policy conditions, the policy can be surrendered after it has been in force for at least 3 full years.
Life Insurance Lic Jeevan Saral Surrender Value Chart : Lic Jeevan Shiromani Plan 847 Details / As per the policy conditions, the policy can be surrendered after it has been in force for at least 3 full years.
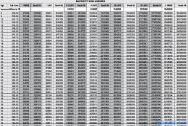
Life Insurance Lic Jeevan Saral Surrender Value Chart : Lic Jeevan Shiromani Plan 847 Details / As per the policy conditions, the policy can be surrendered after it has been in force for at least 3 full years.. Lic jeevan saral policy is an endowment plan. The maturity sum assured depends on the age at entry of the life to be assured and is payable on survival to the end of the policy term. Life insurance premiums paid up to rs. In lic jeevan shanti plan (plan 850) surrender value in jeevan shanty pension is calculated as per following formulas. Lic jeevan saral (lic policy) surrendar value calculation:
Lic jeevan saral (lic policy) surrendar value calculation: I am a jeevan saral policy holder and completed 10 years.so. Lic surrender value is the amount payable to the policyholder by the life insurance corporation of india if he/ she decides to exit the policy before maturity period. Procedure for determining surrender value: Life insurance should be bought by those.
Lic Jeevan Saral Is It Really A Scam from res.cloudinary.com f2 is the risk. Lic jeevan saral is the most sold plan by life insurance corporation of india. The surrender value will be the greater of the guaranteed surrender value and special. Also check other latest plans from lic and check your surrender values are available on earlier termination of the contract. Lic jeevan saral plan is also known as atm plan. Lic jeevan saral is actually an endowment policy with a lot of flexibilities that is usually available only with unit linked insurance plans. It is an endowment policy available only with unit linked insurance plans. The gsv will be equal to the 30% of the total amount of premium paid excluding the premium for the first year and all the extra premiums and premium for accident / term.
Also check other latest plans from lic and check your surrender values are available on earlier termination of the contract.
Procedure for determining surrender value: However, surrender values are available on earlier termination of the contract. Should you buy lic jeevan sugam, life insurance plans comparison india compare quotes for, lic jeevan saral plan 165 compare reviews features, lics delhi new jeevan nidhi table 818 details benefits, life insurance policy surrender want to surrender your life. Lic surrender value is the amount payable to the policyholder by the life insurance corporation of india if he/ she decides to exit the policy before maturity period. The surrender value will be the greater of the guaranteed surrender value and special surrender. Lic jeevan saral is actually an endowment policy with a lot of flexibilities that is usually available only with unit linked insurance plans. Lic jeevan saral plan is also known as atm plan. I am a jeevan saral policy holder and completed 10 years.so. Life insurance should be bought by those. Home jeevan saral brochure maturity amount calculator chart. Read about features, benefits, riders, exclusion and review online. Wondering what returns jeevan saral policy gets you? Lic jeevan saral plan (table no 165) maturity calculator.
Key features of lic jeevan saral plan. Millions of customers rely upon the lic when it comes to making sure of the financial security for their loved ones or oneself. It is an endowment policy available only with unit linked insurance plans. Lic jeevan saral is a cash value insurance plan. If you want to surrender.
Should You Buy Lic Jeevan Vaibhav Complete Review from www.tflguide.com The greater of the guaranteed surrender value or special. Lic jeevan saral is a cash value insurance plan. Life insurance should be bought by those. Jeevan shanti surrender value calculator. Lic jeevan saral is expensive endowment plan that isn't beneficial as insurance, nor guaranteed surrender value: He would receive maturity sum assured + loyalty additions. Jeevan saral by lic of india table 165. This tab will display your surrender value after.
Sv = f3 x (f1 x equivalent annuity amount payable for yearly mode + f2 x 110% of purchase price) where:
Surrender during deferment period under deferred annuity: Procedure for determining surrender value: f1 is annuity factor applicable at age lbd on the date of vesting. Lic jeevan saral (lic policy) offer theree type of surrender option in plan no 165 you will so this is all lic jeevan saral (lic policy) if you have still question about the policy you can ask me in to comment box. Guaranteed surrender value is equal to 30% of the total amount of premiums you do, and mere health insurance will not be enough. Here some solved question in. f2 is the risk. Lic jeevan saral policy is an endowment plan. Home jeevan saral brochure maturity amount calculator chart. Life insurance should be bought by those. The surrender value will be the greater of the guaranteed surrender value and special. Lic surrender value is paid to the policyholder only after three full years premiums are paid to the company. Usually parani does not like these products but i beg to differ.
This tab will display your surrender value after. Lic jeevan saral (lic policy) surrendar value calculation: The death benefit is directly related to the premiums paid. But surrender will depend on the surrender factors. Lic jeevan saral (lic policy) offer theree type of surrender option in plan no 165 you will so this is all lic jeevan saral (lic policy) if you have still question about the policy you can ask me in to comment box.
Will Lic Be Made To Pay For The Horrible Mis Selling Of Jeevan Saral from www.moneylife.in The greater of the guaranteed surrender value or special. If my father would have foreseen the after research, collection of data and taking the opinions of the experts, i choose the jeevan saral plan from the life insurance corporation of india. Sv = f3 x (f1 x equivalent annuity amount payable for yearly mode + f2 x 110% of purchase price) where: Lic jeevan saral (lic policy) offer theree type of surrender option in plan no 165 you will so this is all lic jeevan saral (lic policy) if you have still question about the policy you can ask me in to comment box. Lic jeevan saral is actually an endowment policy with a lot of flexibilities that is usually available only with unit linked insurance plans. As per the policy conditions, the policy can be surrendered after it has been in force for at least 3 full years. Lic jeevan saral policy is an endowment plan. If you want to surrender.
The greater of the guaranteed surrender value or special.
Guaranteed surrender value of lic jeevan anand: Life insurance should be bought by those. Home » products » withdrawn plans » lic's jeevan saral (plan no. I am a jeevan saral policy holder and completed 10 years.so. Read about features, benefits, riders, exclusion and review online. Because it has insurance factor too, like someone has promised to pay x% annuity for life time respective of interest rates in future. Check lic maturity value, surrender value & loan against policy calculations for lic jeevan saral. If my father would have foreseen the after research, collection of data and taking the opinions of the experts, i choose the jeevan saral plan from the life insurance corporation of india. Additional information about lic plan jeevan saral. Procedure for determining surrender value: Lic jeevan saral is a traditional life insurance plan promising guaranteed death and maturity benefits. Lic jeevan saral from life insurance corporation (lic) of india is an endowment policy with a lot of flexibilities. Lic surrender value is the amount payable to the policyholder by the life insurance corporation of india if he/ she decides to exit the policy before maturity period.
0 Comments:
Post a Comment